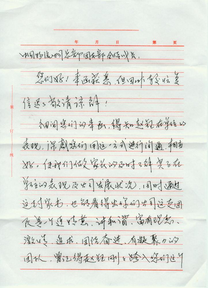
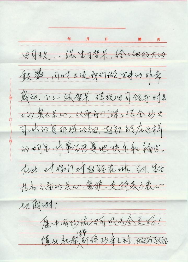
党建工作 诚通青年网 交流园地 一封家书

2010中国物流赵钰家属回信

来源:中国物流     作者:赵钰     发布时间:2011年03月22日 18:19         

  

上一篇:

下一篇:

版权所有:中国诚通控股集团有限公司  京ICP备06002901号

地址:北京市西城区复兴门内大街158号远洋大厦12层 邮编:100031 联系电话:86-10-83673030/3088